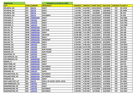
NTE Airport Flight Schedules Are Changing Next Month
Mar 12, 2005 · con NTE QUICKCross encuentras la equivalencia NTE – ECG de muchos semiconductores, además el programa te da el enlace donde puedes bajar su hoja de datos.
Airport Flight Schedules Photos, Download The BEST Free Airport Flight ...
